- 热门信息列表
-
- 你知道河北同仁医学院2026年3+3可以报考哪些大专学校吗?
- 3+3口腔医学大专升学班招生信息-2026年河北同仁医专
- 3+3高级护理专业升学班招生信息-2026年
- 河北同仁医学中等专业学校3+2招生往届初高中生吗?
- 2026年河北同仁医学中等专业学校春季还可以报名吗?
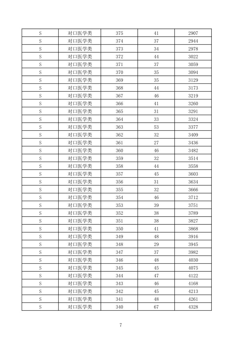
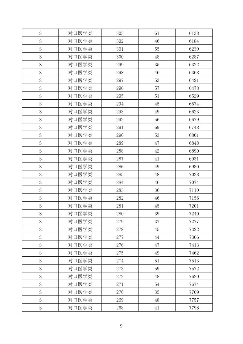
- 河北同仁医学中等专业学校2026年对口高考医学类考试:学子整装,奔赴梦想“战场”
- 2025河北单招七类|各分数段精准择校指南(含专业/招生计划/学费)
- 2026年河北省中等职业学校对口升学专业考试将于3月6日至3月29日陆续举行
- 2026年河北省普通高中学业水平考试3月9号开始
- 致参加2026年河北省高职单招及对口升学专业考试考生和家长的一封信



















